Using a Lua file instead of JSON may be a convenient way to store data in [[Defold]], especially for small files. However, this approach has its downsides, especially when dealing with very large files.
Let’s compare these four approaches:
- Lua file of
9.1Mbloaded withrequire. In this case it’s processed as a code file (compilation, etc.)
local data = require("main.lua.data")
- the same Lua file loaded as a custom resource using
loadstring()
self.data = loadstring(sys.load_resource("/main/lua_data/lua_data.lua"))()
- JSON file encoded from this Lua table, which is
8.1Mb.
self.data = json.decode(sys.load_resource("/main/json/our_file.json"))
- Defold has its own serializer:
sys.serialize()andsys.deserialize(). The same blob of data serialized and saved on disk is14.7Mb.
self.data = sys.deserialize(sys.load_resource("/main/sys/sys_data"))
It’s important to understand that require adds a Lua module as a dependency for the collection, so loading occurs not when require is called in the code, but when the collection is loaded. This test is designed to take that into account. Each approach loads its own collection and performs an operation in init() (for require, this is not needed).
Caching of Lua modules
All Lua modules loaded with require are cached by Lua in package.loaded. This aspect is essential to remember if you intend to use data in Lua and require it. To unload these modules, you must manually clean them up when you unload a collection (or at any moment you consider it necessary):
package.loaded["your.package.here"] = nil
Build size
Here are the file sizes in different builds:
- LuaJIT with one architecture (Android x64 taken as an example)
- LuaJIT with both architectures (Android x64+x32 taken as an example)
- Plain Lua (HTML5 target always uses this one)
Compressed
json.decode() |
loadstring(Lua) |
require(Lua) |
sys.deserialize() |
|
|---|---|---|---|---|
| Android x64 (LuaJIT one arch) |
3.08 MB | 3.21 MB | 3.57 MB | 4.33 MB |
| Android x64+x32 (LuaJIT two archs) |
3.08 MB | 3.21 MB | 7.18 MB | 4.33 MB |
| HTML5 (plain Lua) |
3.08 MB | 3.21 MB | 3.21 MB | 4.33 MB |
For plain Lua, the size remains the same as the Lua file in the project. However, for LuaJIT, it’s the compiled version, which needs to be compiled for each architecture separately. This should be considered when using data in Lua code (requiring Lua files).
Additionally, here is information about file sizes before compression, which is necessary for a better understanding of what exactly consumes memory:
Uncompressed
json.decode() |
loadstring(Lua) |
require(Lua) |
sys.deserialize() |
|
|---|---|---|---|---|
| Android x64 (LuaJIT one arch) |
7.77 MB | 8.67 MB | 9.85 MB | 14.05 MB |
| Android x64+x32 (LuaJIT two archs) |
7.77 MB | 8.67 MB | 19.70 MB | 14.05 MB |
| HTML5 (plain Lua) |
7.77 MB | 8.67 MB | 8.67 MB | 14.05 MB |
Loading/decoding speed
The result is the average of 5 calls, with the application loaded from scratch for each approach. Release bundle. It is obtained after the following steps:
- Launch the app
- Load the collection
- Record data for the first load
- Unload the collection
- Collect garbage
- Repeat the process 5 times
- Record data for the average time
Average 5 loads
json.decode() |
loadstring(Lua) |
require(Lua) |
sys.deserialize() |
|
|---|---|---|---|---|
| Android x64 (LuaJIT one arch) |
0.2649 | 0.7514 | 0.1883 | 0.2882 |
| Android x64+x32 (LuaJIT two archs) |
0.2691 | 0.7516 | 0.2298 | 0.2466 |
| HTML5 (plain Lua) |
0.3864 | 0.4557 | 0.4596 | 0.0680 |
| Mac arm64 (LuaJIT) |
0.0714 | 0.1851 | 0.0480 | 0.0567 |
| iOS arm64 (LuaJIT interpreter) |
0.2863 | 0.9674 | 0.1778 | 0.2631 |
For many games you need to load it only once, so it makes sense to have a cold load (only the first load time):
The first load
json.decode() |
loadstring(Lua) |
require(Lua) |
sys.deserialize() |
|
|---|---|---|---|---|
| Android x64 (LuaJIT one arch) |
0.2614 | 0.6377 | 0.2659 | 0.2626 |
| Android x64+x32 (LuaJIT two archs) |
0.2668 | 0.7145 | 0.4152 | 0.2485 |
| HTML5 (plain Lua) |
0.4150 | 0.4700 | 0.5090 | 0.0730 |
| Mac arm64 (LuaJIT) |
0.0729 | 0.1895 | 0.0945 | 0.0608 |
| iOS arm64 (LuaJIT interpreter) |
0.2862 | 1.0037 | 0.2485 | 0.3078 |
| *Android is Xiomi Readmi Note 4 | ||||
| ** iOS is iPhone 7 |
Lua memory
It’s important to measure both:
- The extent of memory spikes during the parsing process
- The amount of memory the result table occupies
These measurements are obtained after the following steps:
- Launch the app
- Collect garbage
- Load the collection
- Record the value as a memory spike (the amount of Lua memory required for the parsing process)
- Collect garbage
- Record the value as the memory usage of the table
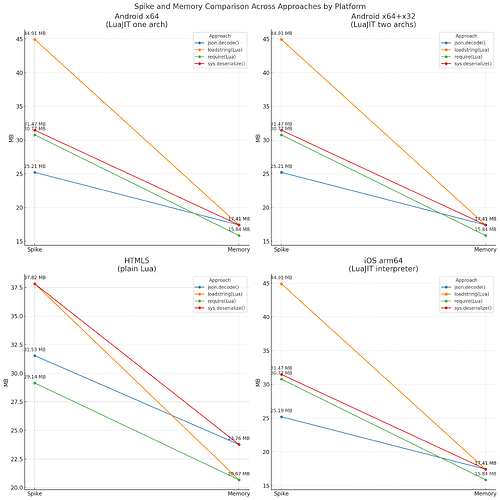
Spike
json.decode() |
loadstring(Lua) |
require(Lua) |
sys.deserialize() |
|
|---|---|---|---|---|
| Android x64 (LuaJIT one arch) |
25.21 | 44.91 | 30.77 | 31.47 |
| Android x64+x32 (LuaJIT two archs) |
25.21 | 44.91 | 30.77 | 31.47 |
| HTML5 (plain Lua) |
31.53 | 37.82 | 29.14 | 37.82 |
| iOS arm64 (LuaJIT interpreter) |
25,19 | 44.91 | 30.77 | 31.47 |
Memory
json.decode() |
loadstring(Lua) |
require(Lua) |
sys.deserialize() |
|
|---|---|---|---|---|
| Android x64 (LuaJIT one arch) |
17.41 | 17.41 | 15.84 | 17.41 |
| Android x64+x32 (LuaJIT two archs) |
17.41 | 17.41 | 15.84 | 17.41 |
| HTML5 (plain Lua) |
23.76 | 20.67 | 20.67 | 23.76 |
| iOS arm64 (LuaJIT interpreter) |
17.41 | 17.41 | 15.84 | 17.41 |
| * Android is Xiomi Readmi Note 4 | ||||
| ** iOS is iPhone 7 |
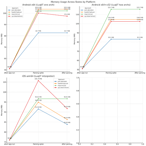
Application memory
Depending on the operating system, memory allocation may appear different for the application at the OS level. Here are measurements of how it looks on different setups.
In profiler it looks like this in Xcode instruments:
Android Studio:
Android* x64 (LuaJIT one arch)
| After app run | Parsing spike | After parsing | |
|---|---|---|---|
json.decode() |
51 | 82.7 | 82.7 |
loadstring(Lua) |
51 | 103.5 | 103.5 |
require(Lua) |
51 | 102.1 | 102.1 |
sys.deserialize() |
51 | 100.2 | 97.4 |
Android* x64+x32 (LuaJIT two archs)
| After app run | Parsing spike | After parsing | |
|---|---|---|---|
json.decode() |
51 | 83.1 | 83.1 |
loadstring(Lua) |
51 | 104.6 | 104.6 |
require(Lua) |
51 | 115.7 | 115.7 |
sys.deserialize() |
51 | 102.4 | 102.4 |
iOS** arm64 (LuaJIT interpreter)
| After app run | Parsing spike | After parsing | ||
|---|---|---|---|---|
json.decode() |
76 | 91.54 | 83.83 | |
loadstring(Lua) |
76 | 94.95 | 86.26 | |
require(Lua) |
76 | 96.65 | 96.65 | |
sys.deserialize() |
76 | 105.74 | 91,76 | |
| * Android is Xiomi Readmi Note 4 | ||||
| ** iOS is iPhone Xs (connection issues with iPhone 7 → Xcode instruments) |
The require approach occupies more disk space and, of course, requires more native memory to be loaded and parsed (see uncompressed file sizes).
Conclusion
Utilizing large chunks of data as Lua code (using require) will noticeably affect both build size and runtime memory usage. In this case, the load/parsing time is comparable to JSON speed.
You must be cautious about where you place data and how you use it, especially if it involves a huge amount of data.
The project is available here:
Please, ensure you test it in a release bundle.
UPDATE:
- All the measurements use a newly generated blob of data.
- Fixed a bug for
loadstring()measurements. - Added a new approach with
sys.serialize(). - All the measurements for iPhone were made for iPhone 7, except for the system memory measurement, which is still for iPhone XS (which shouldn’t be much different).








… and we generally used json as an output (because most of the consumers of the data used a Grafana stack of some kind).
).